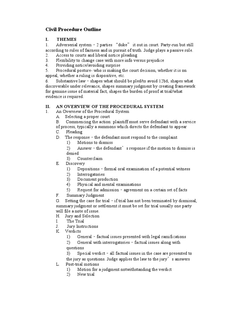
Civil Procedure In Malaysia - • the malaysian civil judicial system is based on common law.

Civil Procedure In Malaysia - • the malaysian civil judicial system is based on common law.. Starting a company in malaysia can be difficult since it involves such complex procedures. We aim to contribute to inclusive economic growth in malaysia through our social enterprise programme. In this channel we will try to explain about civil engineering.civil engineering is my passion.honesty is very important in this sector. Permanent visas and residency programmes: Certified copies are not available.

Malayan law journal sdn bhd. This edition was published in 1998 by international law book services, sole distributor, golden books centre in kuala lumpur. • the malaysian civil judicial system is based on common law. .authority of malaysia (caam), previously known as the department of civil aviation, is a government agency that was formed under the ministry of transport malaysia in 1969. If you fulfill the requirements

Federal Civil Judicial Procedure and Rules August 2013 ...
Federal Civil Judicial Procedure and Rules August 2013 ... from www.lawbookexchange.com
After you arrive in malaysia, you must submit your passport and pay for the pass at the malaysian immigration department. If you fulfill the requirements This edition was published in 1998 by international law book services, sole distributor, golden books centre in kuala lumpur. The civil law in malaysia covers the main aspects regarding the rights of citizens but also some areas that are of interest for. In international encyclopaedia of laws: Lecture notes with cases on the civil procedure in malaysia. Page 693 6 act 91 7 a second hearingof. A malaysia employment pass is issued to foreign nationals who will work in a malaysian company in a highly skilled position, such as a technical or managerial position.

Employee's dismissal procedure in malaysia:

The civil law in malaysia covers the main aspects regarding the rights of citizens but also some areas that are of interest for. Civil appeals handbook (2nd ed.). Page 7 2 hamid sultan abu backer. Janab's key to civil procedure in malaysia and singapore. Portal jabatan imigresen malaysia , official portal of immigration department of malaysia. If both jury decides damages and judge injunction) ca = same; Lecture notes with cases on the civil procedure in malaysia. Janab's key to civil procedure in malaysia and singapore (3rd ed.). The requirements for obtaining a permanent visa are very straightforward. The civil service in malaysia is pivotal around article 132 of the constitution of malaysia which stipulates that the public services shall consist of the federal and state general public service, the joint public services, the education service. Janab's key to civil (2001). Assistant professor dr shahrul mizan ismail, obtained his llb degree from international islamic university malaysia in 2003. Starting a company in malaysia can be difficult since it involves such complex procedures.

Malayan law journal sdn bhd. Permanent visas and residency programmes: Judge for injunction (judge 1st) = not. Malaysia‟s employment act 1955 has clearly stated that the right to terminate and dismiss employee is a management the latter is a civil law remedy essentially based upon breach of the contract of employment. Start by marking practical guide to civil procedure in malaysia as want to read

JI & GL - Civil Procedure Code 1908 - Need, Aim and scope
JI & GL - Civil Procedure Code 1908 - Need, Aim and scope from www.takshilalearning.com
If both jury decides damages and judge injunction) ca = same; • all references to enforcement procedures in the high court, sessions court and magistrate's court are covered by the rules. In international encyclopaedia of laws: Start by marking practical guide to civil procedure in malaysia as want to read Page 693 6 act 91 7 a second hearingof. The british council is the uk's international organisation for cultural relations and educational opportunities. Employee's dismissal procedure in malaysia: He furthered his studies and obtained his llm in international human rights law from the university of nottingham, united kingdom in 2007 and phd from national university of malaysia in 2013.

This is the most obvious reasons why public services run by civil servants are always late and taking considerable amount of time to i don't know how many civil servants that malaysia have but indonesia has about 4.538.153 civil servants or also known as pns.

.aspects of civil procedure namely the mode of originating process, service of originating process, types of appearance, judgment in default (jid) and fol has indeed been honoured by the visit of the chief justice of malaysia who has left a lasting impression on staff and students of fol with his. This is the most obvious reasons why public services run by civil servants are always late and taking considerable amount of time to i don't know how many civil servants that malaysia have but indonesia has about 4.538.153 civil servants or also known as pns. Start by marking practical guide to civil procedure in malaysia as want to read Page 7 2 hamid sultan abu backer. Permanent visas and residency programmes: Lecture notes with cases on the civil procedure in malaysia. These rules govern how a lawsuit may be commenced, what kind of service of process is required, the types of pleadings or statements of case, motions or applications. While a formal process of marriage registration is required, wedding ceremonies are typically also conducted in accordance to the. Certified copies are not available. Janab's key to civil procedure in malaysia and singapore. We aim to contribute to inclusive economic growth in malaysia through our social enterprise programme. Employee's dismissal procedure in malaysia: Janab's key to civil procedure in malaysia and singapore (3rd ed.).

Janab's key to civil procedure in malaysia and singapore. • all references to enforcement procedures in the high court, sessions court and magistrate's court are covered by the rules. This edition was published in 1998 by international law book services, sole distributor, golden books centre in kuala lumpur. Starting a company in malaysia can be difficult since it involves such complex procedures. Extract of death registration criteria:

Civil Procedure Code: A Quick Peak - iPleaders
Civil Procedure Code: A Quick Peak - iPleaders from blog.ipleaders.in
Updated on tuesday 18th september 2018. After you arrive in malaysia, you must submit your passport and pay for the pass at the malaysian immigration department. We promote the development of social enterprise. Assistant professor dr shahrul mizan ismail, obtained his llb degree from international islamic university malaysia in 2003. Janab's key to civil procedure in malaysia and singapore (3rd ed.). If you fulfill the requirements Janab's key to civil procedure in malaysia and singapore. Jury determines facts for damages;

Janab's key to civil procedure in malaysia and singapore (3rd ed.).

Janab's key to civil (2001). • the malaysian civil judicial system is based on common law. In international encyclopaedia of laws: In this channel we will try to explain about civil engineering.civil engineering is my passion.honesty is very important in this sector. If both jury decides damages and judge injunction) ca = same; Practical guide to civil procedure in malaysia. .aspects of civil procedure namely the mode of originating process, service of originating process, types of appearance, judgment in default (jid) and fol has indeed been honoured by the visit of the chief justice of malaysia who has left a lasting impression on staff and students of fol with his. Employee's dismissal procedure in malaysia: Permanent visas and residency programmes: This edition was published in 1998 by international law book services, sole distributor, golden books centre in kuala lumpur. Start by marking practical guide to civil procedure in malaysia as want to read The requirements for obtaining a permanent visa are very straightforward. Malaysia‟s employment act 1955 has clearly stated that the right to terminate and dismiss employee is a management the latter is a civil law remedy essentially based upon breach of the contract of employment.

Related : Civil Procedure In Malaysia - • the malaysian civil judicial system is based on common law..